Tính thể tích khối tròn xoay, công thức và bài tập
Trong hình học không gian, khối tròn xoay thường xuất hiện rất nhiều trong các bài toán. Chúng được tạo thành bằng cách quay một mặt phẳng quanh một trục cố định. Vậy công thức tính thể tích khối tròn xoay như thế nào, được áp dụng ra sao? Câu trả lời sẽ có ngay trong bài viết dưới đây, cùng theo dõi nhé!
1.Công thức tính thể tích khối tròn xoay quanh trục Ox
Để tính thể tích khối tròn xoay quanh trục Ox, bạn có thể tham khảo và áp dụng hai công thức tính sau:
Trường hợp 1: Khi khối tròn xoay được tạo bởi:
Đường thẳng y= f(x)
Trục hoành y=0
x=a; x=b
Vậy, công thức tính thể tích khối tròn xoay trục Ox là:


Công thức tính thể tích khối tròn xoay
Trường hợp 2: Khối tròn xoay được tạo bởi các yếu tố sau:
Đường thẳng y= f(x)
Đường thẳng y= g(x)
x=a; x=b
Trường hợp này thể tích khối tròn xoay trục Ox sẽ được tính theo công thức:

2.Công thức tính thể tích khối tròn xoay quanh trục Oy
Đối với khối tròn xoay trục Oy thì công thức tính thể tích được áp dụng như sau:
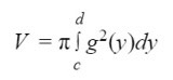
Trường hợp 1: Khối tròn xoay được tạo bởi:
Đường x=g(y)
Trục tung x=0
y=c; y=d
Khi đó, công thức tính thể tích khối tròn xoay trục Oy sẽ là:


Công thức thể tích khối tròn xoay quanh trục Ox
Trường hợp 2: Khi khối tròn xoay được tạo thành từ:
Đường x=f(y)
Đương x=g(y)
y=c; y=d
Vậy, thể tích khối tròn xoay trục Oy được tính như sau:

3.Ví dụ và các bài tập tính thể tích khối tròn xoay
Để nắm vững hơn về các công thức tính thể tích khối tròn xoay trong từng trường hợp, bạn hãy tham khảo và cùng thực hành một số ví dụ và bài tập cụ thể dưới đây nhé!
Ví dụ 1: Cho hình phẳng được giới hạn bởi đường cong y = sinx, trục hoành và hai đường thẳng x=0, x=π quanh trục Ox. Tính thể tích khối tròn xoay khi quay hình phẳng được giới hạn bởi những yếu tố trên.
Đáp án:
Áp dụng công thức trong phần lý thuyết ở trên, ta có:


Một số ví dụ về cách tính thể tính khối tròn xoay
Ví dụ 2: Cho hình phẳng được giới hạn bởi các đường y2 = 4x; y = 2x2 quay xung quanh trục Ox. Tính thể tích của khối tròn xoay khi quay mặt phẳng trên.
Đáp án:
Với x ϵ [0;2] thì y2 = 4x tương đương y = √x.
Khi đó, tọa độ giao điểm của đường y = 2x2 với y2 = 4x là các điểm O(0;0) và A(1;2)
Vậy, thể tích khối tròn xoay khi quay mặt phẳng là:

Ví dụ 3: Cho một vật thể được cắt bởi mặt phẳng (P) vuông góc với trục Ox tại điểm có hoành độ x với 0≤x≤1 là một hình chữ nhật có độ dài 2 cạnh tương ứng là x và ln(x2+1). Tính thể tích của vật thể nằm giữa hai mặt phẳng x = 0 và x = 1.
Đáp án:
Do vật thể là một hình chữ nhật nên diện tích của vật thể là: S(x) = xln(x2+1)
Khi đó, thể tích của vật thể nằm giữa hai mặt phẳng x = 0 và x = 1 như sau:

Ví dụ 4: Cho hình phẳng giới hạn bởi các đường y = x; y = 3x; x = 0; x = 1 quay xung quanh trục hoành Ox. Áp dụng những kiến thức đã học, hãy tính thể tích của khối tròn xoay được tạo thành.
Đáp án:
Tọa độ giao điểm của đường thẳng x = 1 với y = x và y =3x là các điểm A(1;1) và B(3;1).
Tọa độ giao điểm của đường thẳng y = x với y = 3x là O(0;0).
Vậy thể tích khối tròn xoay cần tính là:

Như vậy, với những thông tin trong bài viết trên chắc hẳn bạn đã hiểu được cách tính thể tích khối tròn xoay rồi. Bạn chỉ cần áp dụng đúng công thức tính thể tích cho từng trường hợp cụ thể là có thể giải được. Mong rằng với những công thức và các bài toán ví dụ sẽ giúp bạn thực hành và áp dụng thật tốt nhé!